中国·必威(bw·西汉姆联)中文官方网站-West Ham Unite
学校首页
首页
学校首页
学院概况
学院简介
机构设置
现任领导
师资队伍
现任教师
银龄教师
驻校作家
特聘教师
退休教师
教学工作
专业设置
培养方案
教学团队
课程建设
教学文件
科学研究
科研平台
科研管理
科研成果
党团天地
党建
团建
招生就业
招生信息
就业信息
就业政策
学生园地
学生资助
学生社团
易班建设
学子风采
校友风采
校友名录
校友天地
下载专区
教师下载
学生下载
您现在的位置:
首页
>
招生就业
>
招生信息
> 正文
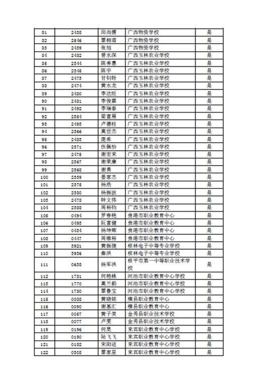
2019年广西中职对口升本免技能测试申请通过名单(河池学院考点)
作者:
来源:
时间:
2019-05-19
Copyright@校园信息化开发团队